I am an AS Media Student from Samuel Ward Sixth Form, and as part of my examination i have to create a blog on my work, the things i have learnt and the improvements in my filming skills from the beginning of the AS year to now. On this blog, I will be showing the codes and conventions of a thriller film, our preliminary task from the beginning of the year, my film planning for my groups thriller opening and the actual final product of our Thriller film opening with an evaluation about it.
Wednesday, 11 May 2011
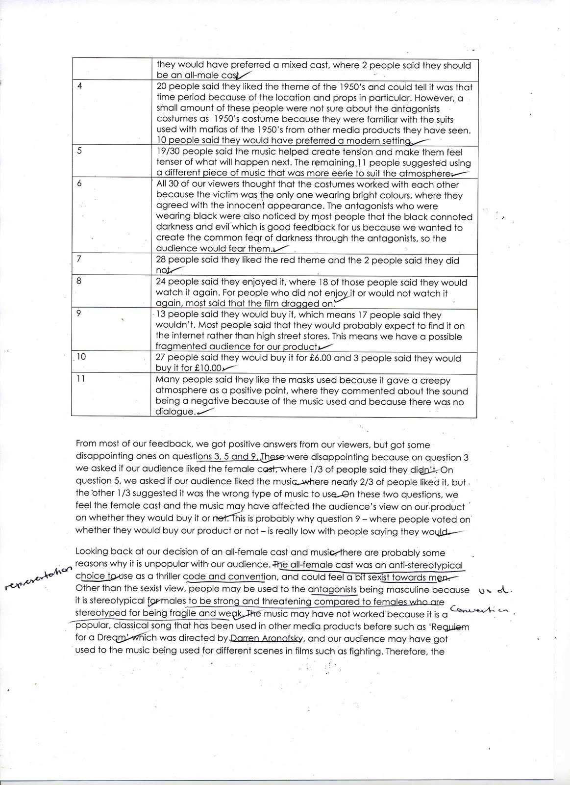
Sunday, 8 May 2011
The Codes and Conventions of a Thriller Film
The common codes and conventions of a thriller film.
· Dark, moody lightning that cast shadows.
· A twist at the end.
· The antagonist or villain is hidden.
· Everyday setting.
· It could be about supernatural sifi or about war, paranormal,etc.
· Play on common fears.
· Mixes with other genres.
· The audience may be slightly confused at the beginning of what’s going on, but somewhere in the middle or late beginning of the thriller, the audience realise what is happening by the film having something happen to explain it.
· No sound motives.
· Music is in a minor key of an orchestral (moody and creepy).
· Many close-ups to show anguish.
· Rapid editing to enhance suspense.
· Common micro elements.
· Intelligent.
· Crime.
· Sense of risk.
· Protagonist in mortal danger.
· The things that happen in society such as rape or burglary.
· Titles!
· Macro elements are the micro elements meaning or reminiscent. For example, red text could mean danger, blood, and death. The red text would be the micro elements and the danger, blood and death meaning would be the macro elements.
Saturday, 7 May 2011
Initial Ideas We Came Up With For A Thriller Film.
Initial Ideas
1). An Organisation or Mafia who was holding a person hostage because they know too much about them or are threatening him/her to give them an object they want. If they try to escape or if they do not give them the object, they will be killed by organisation. The hostage decides to make an escape anyway - not aware of the consequences - to get out of being a prisoner from this organisation and a chase scene begins. Unfortunately, the boss or guard finds out about it and calls one another to inform them about the escape. In the end, the prisoner is spotted and killed.
2). A girl is walking home or she is running away from a bad experience (argument, etc). If she is running away, she has tears down her face and someone is behind her. She turns around and sees dark figures. She starts running or power walking until she is knocked down and captured. She wakes up tied to a chair where there is a table beside her with drugs, needles and knives laid out. The same men who chased her down the street are standing around her and one goes for the knife and raises it above her head. She starts panicking in the chair and as he slashes down with the knife and it catches the ropes where she breaks free. She punches and shoves the men out the way to the exit and runs for her life. She gets out of the building and heads for a area of forest. While she is running, she has flash-backs of images or voices and trips over something. She then looks up to find feet at her face. It is the same men from before and they laugh. The girl screams.
3). A girl or boy is walking home who is upset. They approach woodland because they want to be alone or their hat gets blown in the wind towards the wood (if it is windy for filming). When they reach the entrance into the woodland, they see a shiny object on the floor and are intrigues to what it is so they go to pick it up. He/she examines the object, but are disturbed by something strange or supernatural. They look panicky turn around and find a dark creature behind a tree, showing its teeth. He/she are terrified by this creature and run off out of the woods. He/she runs a great distance from the wood until they trip on something along the way and is slashed along her arm, until she wakes up. She sits up in her bed, breathing heavily and feels her arm to find red on her hand. He/she looks at her wound on her right arm and hears a growl in their room to realise that this may not be a dream after all.
4). It’s getting late and the protagonist is walking home from the grocery store with some shopping bags and he is about to walk past some stairs. As he does, a knife with blood on it bounces down the stairs towards the protagonist’s feet. He looks up from the knife to find a man in a white coat standing at the top of the stairs with a body slashed through the throat at his feet. The antagonist stares at the protagonist and starts to make his way towards him in a slow menacing walk. The protagonist stares at the antagonist and drops his shopping from shock and is nearly paralyzed until the antagonist gets too close to him that he runs off. The protagonist runs and runs while the antagonist is right behind him. He hits a dead end and is cornered by the murderous serial killer. The antagonist walks into the camera and it ends with a cliff-hanger, making us wonder what has happened to this man.
Shot List Of All The Footage In Our Thriller Film
Shot List
Shot number | Shot type and description |
1 | A shot of a bird. |
2 | An establishing shot of the house |
3 | The camera pans with the victim while she is walking around the room in panic. |
4 | A quick zoom in is used onto the door knob that is turning to show someone is on the other side of the door. |
5 | A medium shot is used to show the victim is in panic that hides in a spot where the door will hide her when it is opened. |
6 | Big close-up of fear on the victim. |
7 | There is a two shot used in a form of a medium long shot where the antagonist comes in and stops in the middle of the shot. |
8 | The antagonist looks around the room without glancing her direction towards the victim. This is through a close-up shot. |
9 | There is a quick zoom in onto the bed that looks like someone is in it by all the pillows stuffed under the duvet. |
10 | A pan with a medium long shot frame is used to follow the antagonist as she talks over to the bed. |
11 | There is a very long shot as the antagonist puts her hand on the bed covers. |
12 | There is an over the shoulder shot as the antagonist pulls the covers to reveal the trick set up with pillows to fool the antagonist. |
13 | There is a shot of the door to show that the victim has escaped. |
14 | There is a dutch angle used with an over-the-shoulder shot to show the tension building as the antagonist realises what has happened. |
15 | There is a medium long shot of the antagonist who looks at the pillows and throws them to the floor by frustration. |
16 | There is a big close-up on the lock of the gate that is connected to the house as the victim opens it. |
17 | A medium long shot is used while the victim goes out of the gate. |
18 | A pan is used to follow the victim as she runs from the gate and down the path. |
19 | The leader of the organisation is asking for wine, where the other antagonist with the mask picks up the wine glass and bottle. |
20 | There is a close-up of the wine glass while the wine is poured into it. |
21 | From shot 19, there is a shot reverse shot to show that the antagonist is giving the leader her wine. |
22 | There is an extreme close-up as the leader of the organisation drinks the wine. |
23 | The antagonist who found the girl had escaped enters the dining room. |
24 | The shot cuts off the leader’s eyes to show hide a part of their identity. The shot is a close-up shot where the leader leans forward and turns to put her glass down. |
25 | There is a big close-up where the leader puts down her wine glass on the table. |
26 | There is a high angle shot on the path outside where the victims feet fun past |
27 | There is a two shot of the leader and the antagonist where the antagonist kisses the leaders hand and kneels down. |
28 | There is a medium close-up and a tilt as the antagonist looks up towards the leader. |
29 | The shot of the leader’s eyes are cut off again where the leader uses her hand to tell the antagonist to rise and tell her what the matter is. |
30 | As the antagonist stands up there is a tilt up to follow this movement. In the same shot, the camera pans with them as well when they go to the leader’s side to whisper in her ear. |
31 | The girl who escaped is running towards the camera that is at ground level. |
32 | The leader antagonists hand clenches up in anger. |
33 | The antagonist steps away from the leader’s ear in caution. Close-up shot from side of the face. |
34 | The leader gets up slowly and is about to slap the antagonist for letting the girl escape. |
35 | There is a close-up shot on the candle sticks and the flames go out to represent the force of the slap. |
36 | The antagonist is clutching her face in pain and is on the floor while the leader curses at her. |
37 | There is a medium close-up as the leader slumps back down into her chair. |
38 | The antagonist gets up on her knees and faces the leader. She reaches out for her hand. |
39 | There is a shot of the leader and the antagonist’s hand where the leader is just about to take her hand away. |
40 | There is a shot reverse shot here where the antagonist is at the leader’s side again, and the leader takes her hand away. |
41 | The camera is on the ground outside with the victim running towards the camera to show that they are running away. |
42 | The other antagonist who poured the leaders wine is in a medium close-up, and she walks in the direction of the other two, out of shot. |
43 | There is a small pan where the servant antagonist who poured the wine, goes towards the other antagonist, and is about to pull her up. |
44 | There is a small high angle as the antagonist is pulled forcefully. |
45 | The antagonist is spun around and pushed harshly in the direction of the door. The antagonist walks away to the door and looks at the leader for the last time to try and get her to forgive her. |
46 | There is a close-up of the antagonist as she walks out of the door. |
47 | The last shot of this scene is with the leader whose arm is over her eyes in shame. |
48 | The next scene begins where there is a pan and a fast zoom in as the girl runs towards the gate to get out of there. However, the gate won’t open. |
49 | The next shot is on the other side of the gate where you can see the antagonist who was chucked out of the room is coming behind her. |
50 | There is an extreme close-up of the girl’s eyes that are in fear because she has heard something. |
51 | The girl is in a close-up shot with her eyes listening out for the sound. The antagonist is walking towards her, but stops with the knife in her hand. A focus pull is used. |
52 | There is a quick whip shot in a form of the pan as the girl turns around quickly to see if anything is there. The antagonist has disappeared. |
53 | In fear, the girl runs into the forest where a pan is used to follow her as she does. The shot pans back to an obstacle near the gate where the antagonist comes out of who is staring in the direction of the girl. |
54 | The antagonist is in a medium close-up where the camera tilts down to reveal the knife in her hand properly. |
55 | There is another pan where is follow the girl running through the woods. |
56 | The next shot is a Dutch angle where the camera is on the ground as the girl runs past. |
57 | The antagonist is in medium close-up, where she is walking towards the camera. |
58 | The handheld tracking shot used behind the girl as she is running is used to show her anxiety. |
59 | There is a point of view shot where the camera movement is handheld and moving forwards to show the girl’s movement. The antagonist comes out from behind a tree with her knife in hand. |
60 | There is a side shot of a medium close-up where the girl stops in her tracks. |
61 | The next shot is a high angle of the girls feet where the camera move back as she does. The girl starts to fall over. |
62 | Shot 62 is where the girl falls onto the floor in a long shot frame. |
63 | The camera is from behind the girl, but is in a shot where you can see the antagonist coming towards her. |
64 | There is an extreme close-up of the victim’s eyes in fear. |
65 | The very last shot is where the antagonist walks towards the camera so we do not know what has really happened to the girl. |
Subscribe to:
Comments (Atom)





























